手机版
网站首页
学校概况
学校简介
机构设置
学校资质
领导关怀
学校荣誉
历史沿革
新闻中心
校园新闻
通知公告
媒体关注
教育教学
教学活动
专业建设
教学资源库
项目建设验收
招生就业
招生信息
专业介绍
就业指导
招工信息
就业跟踪
校企合作
合作企业
合作模式
校园文化
人文素养
和谐校园
文体活动
学生管理
立德树人
管理育人
安全教育
社团活动
健康成长
党建之窗
党务公开
组织活动
清廉学校建设
主题教育
二十大专题
党史学习教育
两学一做
党纪学习
联系我们
当前位置:
网站首页
>>
信息公开
>>
培训鉴定
>>
查看详情
信息公开
招标投标
财务公开
转载文件
培训鉴定
政策资助
爱心助学
培训升学
更多...
滚动新闻
深化国际职教合作共筑技能发展桥梁——广西工贸高级技工学校与老挝乌多姆塞省职业技术学院成功签署合作谅解备忘录
青春担使命法治护成长—— 广西工贸高级技工学校举行2023级十八岁成人礼仪式暨宪法宣传主题活动
产教融合谱新篇校企协同育匠才 ——广西工贸高级技工学校2025年校企合作指导委员会年会暨专业建设指导委员会年会成功举办
广西工贸高级技工学校开展 “社会共治,守正创新,终结艾滋”主题防艾讲座
校企同心筑平台产教融合育人才 ——广西工贸高级技工学校赴玉柴机器股份有限公司开展合作调研
培训鉴定
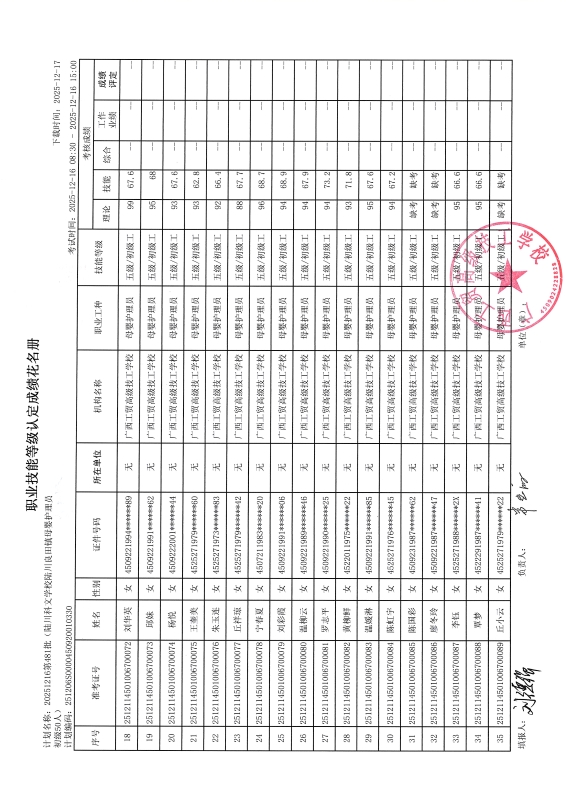
广西工贸高级技工学校关于2025-12-16第481批职业技能等级认定成绩公示
来源:
广西工贸高级技工学校
日期:
2025-12-17 17:31:33
点击:
属于:
培训鉴定
上一则:
广西工贸高级技工学校关于2025-12-19第482批职业技能等级认定成绩公示
下一则:
广西工贸高级技工学校关于2025-12-15第479批职业技能等级认定成绩公示
上级管理机构
兄弟院校链接
其他实用链接
中国供销合作网
广西壮族自治区供销合作联社
广西壮族自治区人力资源和社会保障厅
技能人才评价工作网
广西壮族自治区教育厅
广西经贸职业技术学院
广西商贸高级技工学校
广西科技商贸高级技工学校
广西桂林商贸旅游技工学校
广西梧州商贸学校
广西钦州商贸学校
广西工贸职业技术学校
广西人才网
广西人事考试网
广西专业技术人员继续教育信息管理系统
广西八桂职教网
中国技工教育网
职业教育教学资源和数字学习中心
网站首页
|
学校概况
|
新闻中心
|
教育教学
|
招生就业
|
校企合作
|
校园文化
|
学生管理
|
党建之窗
|
联系我们
网址:
https://www.gxgm.net
地址:
广西玉林市民主南路41号
广西工贸高级技工学校
版权所有 2017-2020
桂ICP备15006585号-2
桂公网安备 45090202000173号
桂公网安备 45090202000319号